Skip to content Skip to sidebar Skip to footer

Los Diez Mandamientos Catolicos : W2gwrid9hvtw6m, « amarás al señor tu dios con todo tu corazón, con toda tu alma y con todas tus fuerzas ».

Los Diez Mandamientos Catolicos : W2gwrid9hvtw6m, « amarás al señor tu dios con todo tu corazón, con toda tu alma y con todas tus fuerzas ».. « amarás al señor tu dios con todo tu corazón, con toda tu alma y con todas tus fuerzas ». 2º no tomarás el nombre de dios en vano. Dichos mandamientos aparecen en la biblia, en los libros del éxodo. Todo sobre la serie los diez mandamientos de unimás: 1º amarás a dios sobre todas las cosas.

Los israelitas habían estado viajando en el desierto por cerca de tres meses (los cuales son un poco más largos que las vacaciones normales de verano) cuando llegaron. En el antiguo testamento, dios, le entregó a moisés, una serie de estatutos o normas morales bajo las cuales debían regirse en la época. Los 10 mandamientos by claudia sánchez 185880 views. Los diez mandamientos, conocidos también como los 10 mandamientos de la ley de dios, así como con el nombre de el decálogo, son los principios éticos y de culto que ocupan una parte fundamental en la religión cristiana y judía. Los diez mandamientos fueron entregados al pueblo judío más de 1000 años antes del nacimiento de jesús.

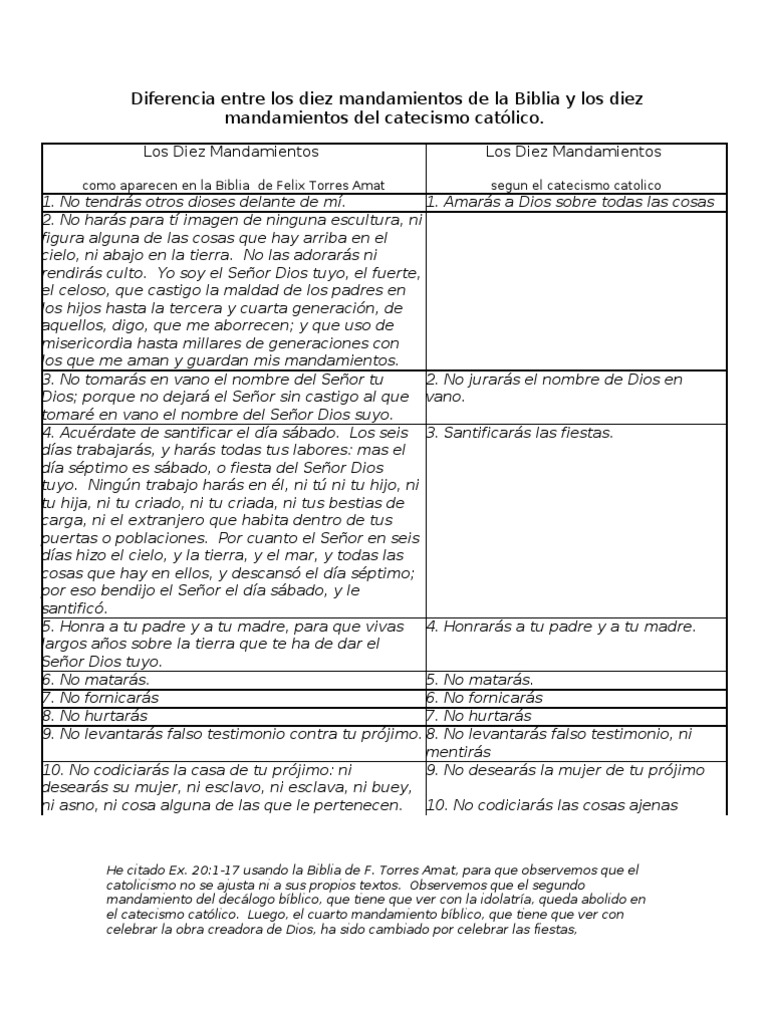
Los 10 Mandamientos De La Biblia Y Los Diez Mandamientos Catolicos
Los 10 Mandamientos De La Biblia Y Los Diez Mandamientos Catolicos from image.slidesharecdn.com
La versión de abajo es la que usan los católicos, ortodoxos y luteranos; Los diez mandamientos de la ley de dios son: Estos, pueden ser resumidos para el entendimiento de los niños católicos de la siguiente manera Los diez mandamientos son la suma de la ley moral, dada por dios mismo a moisés en el monte sinaí (exodus 20: Contienen unos principios éticos y de fe, importantes en el los mandamientos surgieron en un mundo tribal. « amarás al señor tu dios con todo tu corazón, con toda tu alma y con todas tus fuerzas ». Los 10 mandamientos para niños. País estados unidos director cecil b.

En esta ocacion te traemos una aplicación los 10 mandamientos de la ley de dios que te servirá para ayudar e inculcar a los mas pequeños como llevar una 10 mandamientos junto a tu familia amigos o simplemente solo.

También puedes compartir esta app en tus redes favoritas con tus amigos o. Durante la migración de los israelitas de egipto de regreso a la tierra prometida, dios llamó al pastor moisés al. Los mandamientos de la ley de dios del leyes morales: Se necesitaría más de que un hombre para sacar a los esclavos de la servidumbre. Título original the ten commandments año 1956 duración 219 min. Estos diez mandamientos se resumen en dos: Los diez mandamientos son la suma de la ley moral, dada por dios mismo a moisés en el monte sinaí (exodus 20: En el antiguo testamento, dios, le entregó a moisés, una serie de estatutos o normas morales bajo las cuales debían regirse en la época. Moises y los diez mandamientos capitulo 160 completo. Amar a dios sobre todas las cosas y amar al prójimo como a. Dichos mandamientos aparecen en la biblia, en los libros del éxodo. Los mandamientos que tenemos los católicos no los cambió el papa, ni los hombres; 2º no tomarás el nombre de dios en vano.

Los diez mandamientos, también conocidos como el decálogo, de las palabras griegas δέκα (diez) y λόγος (palabras), son un conjunto de principios éticos y de adoración, que juegan un papel importante en el judaísmo y el cristianismo. Se necesitaría más de que un hombre para sacar a los esclavos de la servidumbre. Título original the ten commandments año 1956 duración 219 min. Dios mismo dio los diez mandamientos a moisés, y jesucristo los confirmó y perfeccionó con su palabra y con su ejemplo. Todo sobre la serie los diez mandamientos de unimás:

Los 10 Mandamientos Explicados Para Ninos De Primaria
Los 10 Mandamientos Explicados Para Ninos De Primaria from preparaninos.com
En el antiguo testamento dios entregó los diez mandamientos a moisés en el sinaí para ayudar a su pueblo escogidos a cumplir la ley divina. También puedes compartir esta app en tus redes favoritas con tus amigos o. De hecho, los diez mandamientos se pueden dividir en dos partes: Descubre la historia de 'los diez mandamientos'. 2º no tomarás el nombre de dios en vano. 1º amarás a dios sobre todas las cosas. Nosotros los católicos, siguiendo las palabras de jesús, dividimos los mandamientos, básicamente en dos: Son los diez mandamientos que cristo dejó en tablas de piedra escritas por dios.

Dios mismo dio los diez mandamientos a moisés, y jesucristo los confirmó y perfeccionó con su palabra y con su ejemplo.

Se necesitaría más de que un hombre para sacar a los esclavos de la servidumbre. Demille, daniel mccauley and others. En el antiguo testamento, dios, le entregó a moisés, una serie de estatutos o normas morales bajo las cuales debían regirse en la época. La historia de moisés y los 10 mandamientos. Los diez mandamientos son el envío de dios a los hombres, las normas, la guía para ganarnos la eternidad junto a él. Moises y los diez mandamientos capitulo 160 completo. Los israelitas habían estado viajando en el desierto por cerca de tres meses (los cuales son un poco más largos que las vacaciones normales de verano) cuando llegaron. Los diez mandamientos by carmen chavez mal. País estados unidos director cecil b. La otra versión es la que usan los cristianos de las denominaciones calvinista y anabautista. Amar a dios sobre todas las cosas y amar al prójimo como a. ¿cuáles son los 10 mandamientos? Nosotros los católicos, siguiendo las palabras de jesús, dividimos los mandamientos, básicamente en dos:

Demille, daniel mccauley and others. En esta ocacion te traemos una aplicación los 10 mandamientos de la ley de dios que te servirá para ayudar e inculcar a los mas pequeños como llevar una 10 mandamientos junto a tu familia amigos o simplemente solo. Los 10 mandamientos para niños. En el antiguo testamento dios entregó los diez mandamientos a moisés en el sinaí para ayudar a su pueblo escogidos a cumplir la ley divina. Dios mismo dio los diez mandamientos a moisés, y jesucristo los confirmó y perfeccionó con su palabra y con su ejemplo.

Los Diez Mandamientos De La Ley De Dios Ppt Video Online Descargar
Los Diez Mandamientos De La Ley De Dios Ppt Video Online Descargar from slideplayer.es
El significado de los diez mandamientos. 2º no tomarás el nombre de dios en vano. Capítulos completos, videos, fotos, contenido exclusivo y mucho más del elenco. Drama bíblico ambientado en el antiguo egipto que narra la historia de moisés, favorito de la familia del faraón. La otra versión es la que usan los cristianos de las denominaciones calvinista y anabautista. Una nueva alianza, un nuevo sacerdote, unos. Bbc mundo presenta diez historias para repensar las leyes de dios. Lasky jr., jack gariss, fredric m.

Los diez mandamientos fueron entregados al pueblo judío más de 1000 años antes del nacimiento de jesús.

No codiciarás los bienes ajenos. Nosotros los católicos, siguiendo las palabras de jesús, dividimos los mandamientos, básicamente en dos: Frank música elmer bernstein fotografía loyal griggs reparto charlton heston, yul brynner, anne baxter. En esta ocacion te traemos una aplicación los 10 mandamientos de la ley de dios que te servirá para ayudar e inculcar a los mas pequeños como llevar una 10 mandamientos junto a tu familia amigos o simplemente solo. Los diez mandamientos, también conocidos como el decálogo, de las palabras griegas δέκα (diez) y λόγος (palabras), son un conjunto de principios éticos y de adoración, que juegan un papel importante en el judaísmo y el cristianismo. Los israelitas habían estado viajando en el desierto por cerca de tres meses (los cuales son un poco más largos que las vacaciones normales de verano) cuando llegaron. Amar a dios sobre todas las cosas y amar al prójimo como a. Los diez mandamientos de la ley de dios son: Los 10 mandamientos explicados por 4 sacerdotes. Demille, daniel mccauley and others. Los diez mandamientos, conocidos también como los 10 mandamientos de la ley de dios, así como con el nombre de el decálogo, son los principios éticos y de culto que ocupan una parte fundamental en la religión cristiana y judía. La otra versión es la que usan los cristianos de las denominaciones calvinista y anabautista. Moises y los diez mandamientos capitulo 160 completo.